Обнародованы списки пленных казахстанцев, попавших в лагеря во время войны

Айнаш Ондирис
Айнаш Ондирис Журналист

ПОДЕЛИТЬСЯ

Обнародованы списки пленных казахстанцев, попавших в лагеря во время войны Иллюстративное фото. © архив центра Фалстад

Обнародованы списки военнопленных казахстанцев, которые попали  в европейские лагеря во время Второй мировой войны и погибли, передает корреспондент Tengrinews.kz. Документы с данными солдат из Казахстана в архивах Финляндии и Норвегии обнаружила группа исследователей во главе с профессором Гульнарой Мендикуловой. Списки опубликованы в сборнике "Казахи во Второй мировой войне: документы из зарубежных архивов", выпущенном Satbayev University. 


Обнародованы списки военнопленных казахстанцев, которые попали  в европейские лагеря во время Второй мировой войны и погибли, передает корреспондент Tengrinews.kz. Документы с данными солдат из Казахстана в архивах Финляндии и Норвегии обнаружила группа исследователей во главе с профессором Гульнарой Мендикуловой. Списки опубликованы в сборнике "Казахи во Второй мировой войне: документы из зарубежных архивов", выпущенном Satbayev University. 

Казахстанцы, погибшие в лагерях Финляндии

Во время Второй мировой войны произошел вооруженный конфликт между СССР и Финляндией. Он начался 30 ноября 1939 года и завершился 12 марта 1940 года. В истории она известна как Советско-финская война (Зимняя война). Если в советской историографии окончание войны датируется мартом 1940 года, то в Финляндии считается, что Советско-финская война продолжалась в 1940-1944 годах. 

По историческим сведениям, причиной войны стал отказ Финляндии предоставить СССР в аренду часть полуострова Ханко и некоторые острова в Финском заливе в обмен на часть территории в Карелии. 

"В этой войне участвовали и казахстанцы, многие из которых погибли или оставались в финском плену, о чем свидетельствуют найденные архивные документы. В финский плен попали около 67 тысяч бойцов Красной Армии. Примерно каждый третий солдат погиб в финских лагерях. (...) Поисковая работа с базой данных позволила участникам проекта обнаружить списки из 268 казахстанцев, погибших в финских лагерях для  военнопленных. Списки содержат ФИО, национальность, пол, место рождения, дату и причину смерти и название лагеря. ФИО могут быть искажены ввиду написания на финском языке", - говорится в сборнике "Казахи во Второй мировой войне: документы из зарубежных архивов". 

Tengrinews.kz публикует первые страницы списков по согласованию с авторами книги.


Сведения из базы данных Национального архива Финляндии "Судьбы военнопленных и интернированных лиц в Финляндии в 1935-1955 гг." Источник ©Сборник "Казахи во Второй мировой войне: документы из зарубежных архивов"

Документы из национального архива Норвегии

Норвегия была оккупирована фашистами с апреля 1940 до мая 1945 года. По данным авторов книги, проблема содержания и возвращения в СССР бывших советских военнопленных, в частности казахов и казахстанцев, из лагерей вермахта, находившихся на территории оккупированной Норвегии, до сих пор остается одной из малоизученных в казахстанской историографии. По данным норвежских историков, в стране от голода, болезней и нацистских зверств погибли около 15 000 советских военнопленных. Сейчас норвежская сторона предпринимает попытки по идентификации их личностей. На сегодня удалось установить лишь 2700 имен. 

Узников пригоняли в лагеря из СССР, в том числе это были солдаты, женщины и дети. По всей Норвегии фашистскими оккупантами было построено более 500 лагерей для заключенных. Военнопленные жили в норах, вырытых в земле. 

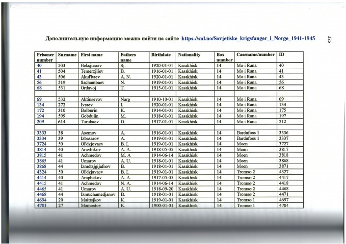
Список казахских военнопленных в Норвегии был получен при помощи казахов, проживающих в Норвегии, в частности Кадыра Айкана Басташа, который долгое время возглавлял казахский культурный центр в этой стране. 

Всего в списке приводится около 400 имен. Данные написаны на норвежском языке, что, возможно, частично искажает их. 


Список казахов-военнопленных во Второй мировой войне, содержавшихся в лагерях Норвегии. Источник ©Сборник "Казахи во Второй мировой войне: документы из зарубежных архивов"

Казахи, освобожденные из лагерей Норвегии

В Национальном архиве Норвегии также обнаружены имена 340 казахов-военнопленных, которые были репатриированы из Норвегии в СССР. Возраст освобожденных пленных варьировался от 25 до 44 лет, большинство - это рядовые солдаты, призванные из разных областей Казахстана. По данным историка В.Н. Земскова, по состоянию на 1 марта 1946 года из Норвегии был репатриирован 4 440 901 советский гражданин, из них казахов 26 903 человека. 


Часть списка репатриированных из Норвегии казахов. © Сборник "Казахи во Второй мировой войне: документы из зарубежных архивов". 

После возвращения на родину всем репатриированным из Норвегии военнопленным пришлось пройти проверку и фильтрацию органами НКВД, НКГБ и контрразведки СМЕРШ. Дальнейшая их судьба до сих пор мало изучена из-за ограниченного доступа к материалам, хранящимся в казахстанских и российских архивах, говорится в книге.

Оставшиеся навсегда во Франции: обнаружены захоронения солдат-казахов

Tengrinews
Читайте также

Курс валют

 481.88   556.79   5.72 

 

Погода

Алматы
А
Алматы 10
Астана -3
Актау 13
Актобе 1
Атырау 7
Б
Балхаш -1
Ж
Жезказган -3
К
Караганда -1
Кокшетау -8
Костанай 9
Кызылорда 0
П
Павлодар -2
Петропавловск 0
С
Семей 10
Т
Талдыкорган 9
Тараз 13
Туркестан -1
У
Уральск 0
Усть-Каменогорск 12
Ш
Шымкент 3

 

Редакция Реклама
Социальные сети